欢迎来到方临川研究员“土壤生态与环境课题组”

R

科研进展ESEARCH

最新成果

您的位置:科研进展 >科研动态>最新成果

外源硒促进水稻“降镉富硒”:证据,机制和观点

发布时间:2024-07-16  作者:黄凤羽副教授      编辑:梁嘉良

成果简介:

水稻中镉(Cd)的积累已成为全球性的环境问题,因其普遍存在且易通过食物链传递,对人类健康构成了严重威胁。硒(Se),作为人体和植物所必需的微量元素,被证实能有效减少水稻对镉的吸收,从而缓解Cd中毒的风险。然而,关于Se在Cd污染土壤中如何影响水稻生产性能及其具体机制,目前仍缺乏全面认识。本研究通过全球Meta分析,系统探讨了Se对水稻生长和Cd积累的影响及其潜在机制。分析结果显示,Se对Cd污染土壤中的水稻生长具有显著的正向促进作用。具体而言,Se的添加显著降低了水稻根系、茎部及籽粒中的Cd积累量,分别减少了16.3%(11.8% ~ 20.6%)、24.6%(19.9% ~ 29.1%)和37.3%(33.4% ~ 40.9%)。值得注意的是,籽粒中Cd的减少与Se的剂量及土壤Cd污染程度密切相关,而与Se的类型和施用方式无显著关联。进一步研究发现,Se通过调控水稻体内Cd转运基因(如OSLCT1、OSHMA2和OSHMA3)的表达,增强了Cd在细胞壁的固定作用,降低了Cd在土壤中的生物有效性,进而减少了Cd在水稻体内的积累。此外,Se还通过刺激光合作用和激活抗氧化酶系统,促进了水稻对Se的富集,并有效减轻了Cd暴露引起的氧化损伤。综上所述,Se不仅有效减轻了稻米中Cd对人体健康的潜在危害,特别是在轻度污染的土壤中效果更为显著。这些发现为Se作为水稻生产中同时减少Cd积累和促进Se富集的一种有前景的策略提供了有力支持。

图片摘要 

 
背景介绍:

土壤重金属污染已成为全球性的严峻问题,尤以东南亚和东亚地区为甚。其中,镉(Cd)被视为农业土壤中最为有害且普遍存在的重金属之一,它对作物生长无营养价值,长期摄入含Cd的作物对人体健康构成重大威胁。稻米,作为全球广泛消费的粮食作物,却特别容易累积Cd。硒(Se)展现出显著的潜力,能减少稻米对Cd的吸收与转运,并缓解Cd的毒性,同时提升稻米的产量与品质。

研究表明,外源添加Se能有效减轻Cd对植物的毒性,并限制稻米中Cd的积累。然而,也有研究指出,Se的添加在某些情况下反而促进了稻米中Cd的累积,增加了健康风险。这种不一致性可能归因于Se的种类、使用剂量、应用方式以及水稻栽培条件的差异。值得注意的是,Se是动植物及人体所必需的微量元素,缺乏时可能增加患心血管疾病的风险,全球约15%的人口面临Se缺乏问题,尤以中国、非洲和欧洲的许多地区为著。外源添加Se不仅通过激活多种保护机制来减轻作物中的Cd毒性,还能增加作物中的Se含量。具体机制包括促进光合作用、强化抗氧化系统,以及促进Cd在细胞壁中的积累,从而减少细胞质中具有生物活性的Cd含量。此外,Se的添加还能下调稻米中Cd转运基因的表达,阻断Cd从根部向籽粒的迁移。

尽管已有大量研究探讨了Se应用对Cd积累的影响,但尚未全面评估Se应用在全球范围内对水稻“降镉富硒”的潜在效应。因此,本研究旨在通过全球Meta分析填补这一知识空白,具体目标包括:1) 综合评估Se添加对稻米生长及Cd积累的整体影响;2) 分析Se类型、剂量、应用方法及栽培条件等因素对缓解Cd植物毒性的效果;3) 从细胞、分子及根际层面深入探究Se介导的内在机制,以期优化Se在Cd污染土壤中促进稻米安全生产的策略。

 
研究结果:

1、Se施加提升了水稻生长:

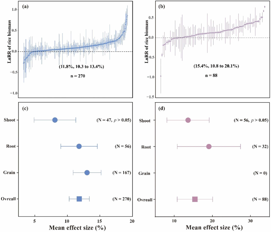
Cd污染的土壤中添加Se显著提高了水稻生物量,其中茎部增加8.44% (CIs, 5.02 - 12.0%),根部增加12.5% (CIs, 9.42 - 15.7%),籽粒增加13.9% (CIs, 11.5 - 16.4%)(图2c)。Cd污染条件下的水培研究也表明,添加Se增加了水稻生物量:茎部14.5% (CIs, 8.44 - 21.2%),根21.0% (CIs, 11.4 - 31.5%)(图2d)。

图2  Cd污染条件下补Se对水稻生物量的影响。

注:(a)Cd污染土壤中添加Se对水稻生物量的单一效应值;(b) Cd污染水中添加Se对水稻生物量的单一效应值;(c)Se对Cd污染土壤中水稻生物量的影响;(d)Se对Cd污染水中水稻生物量的影响。

 

2、Se施加抑制了Cd在水稻中的吸收和转运:

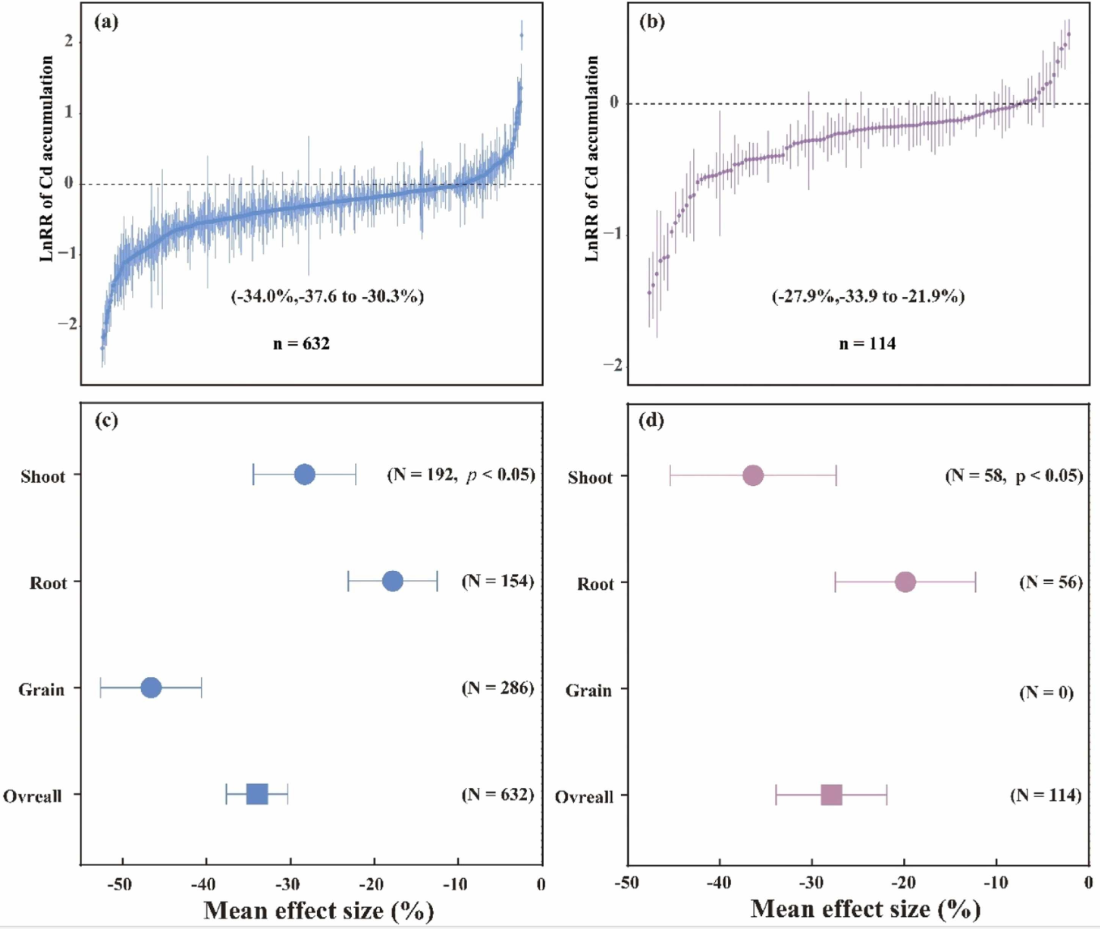
在Cd污染的土壤中,与不含Se的对照相比,Cd浓度在根中下降了16.3% (CIs, 11.8 - 20.6%),在茎中下降了24.6% (CIs, 19.9 - 29.1%),在籽粒中下降了37.3% (CIs, 33.4 - 40.9%)(图3c)。同样,在水培条件下,Se的添加减少了水稻的Cd积累,根平均减少18.1% (CIs, 11.2 - 24.0%),茎平均减少30.5% (CIs, 24.0 - 36.4%)(图3d)。这些发现强调了Se添加在限制水稻Cd吸收方面的潜力,从而有助于Cd污染条件下的水稻安全生产。结果表明,Se对水稻组织Cd积累的抑制顺序为:根<茎<粒(图3c)。

图3  Cd污染条件下补Se对水稻Cd积累的影响。

注:(a)添加Se对Cd污染土壤中水稻Cd积累的单一效应值;(b)Se对Cd污染水中水稻Cd积累的单一效应值;(c) Se对Cd污染土壤中水稻Cd积累的影响;(d)添加Se对Cd污染水中水稻Cd积累的影响。

 

Cd在植物亚细胞结构中的区隔化是一种关键的解毒策略,显著影响植物的耐受性和生长发育。通常,细胞被划分为三个主要的亚细胞区域:细胞壁(F1)、细胞器(F2)以及细胞质(F3)。研究表明,Se的添加显著促进了Cd在细胞壁中的积累,平均增幅达到11.2%。与此同时,Se还导致了细胞器和细胞质中Cd积累的减少,具体为细胞器中的Cd减少了15.0%,而细胞质中的Cd则减少了4.88%。这一变化有效减少了Cd向植物体内敏感靶位的总体迁移,从而增强了植物的解毒能力。Se的添加使水稻中OsHMA3基因的表达平均增加了104.9%(28.8 – 188.1%)(图4b),而使OsLCT1和OsHMA2的表达分别降低了52.5%和46.7%。

图4  (a)补Se对水稻中Cd亚细胞分布的影响。(b) 补Se对水稻基因表达的影响。

注:F1、F2和F3分别代表细胞壁、细胞器和细胞质。

 
3、Se施加降低了Cd和As的生物有效性且提升了土壤质量:

Se添加对降低土壤中有效Cd含量有显著影响,平均降低10.3%(6.11%至14.4%)(图5a)。Se使土壤pH值平均增加2.63%(0.90 - 4.29%),提高土壤有机质含量(0.5%),从而降低Cd的流动性和生物有效性。

图5  添加Se对土壤有效Cd浓度和土壤性质的影响。(b)籽粒Cd累积lnRR与土壤Cd浓度的相关性分析;(c)籽粒Cd累积lnRR与土壤pH值的相关性分析;(d)籽粒Cd累积lnRR与土壤有机质的相关性分析。

注:SOM,土壤有机质。CEC,阳离子交换容量。

 
4、不同因素对水稻籽粒中Cd积累的影响:

叶面施Se与根部施Se在缓解Cd胁迫方面展现出同等的有效性,这揭示了Se主要通过植物特有的生理及分子机制来发挥作用(图6)。纳米技术的兴起为这一领域带来了新希望,其中纳米Se因其相较于其他Se形态在降低Cd含量上的卓越表现而备受瞩目。值得注意的是,土壤Cd污染的程度与Se的添加效果呈负相关,即污染程度越低,添加Se的益处越显著,这预示着在轻度污染的土壤环境中,适量添加Se能有效提升作物安全性。然而,必须谨慎对待Se的添加剂量问题,因为超出适宜浓度的Se可能会引发植物毒性,非但不能有效减少Cd的吸收,反而可能产生适得其反的效果。因此,在制定施加Se策略时,精确控制Se的施用量是至关重要的。

图6  不同因素对水稻籽粒中Cd积累的影响。(a)不同Se类型、施用剂量和施用方法对污染土壤中籽粒Cd积累的影响。(b)不同土壤条件和Cd污染水平对污染土壤中籽粒Cd积累的影响。

注:LowA,低剂量补Se(<5 mg/kg);MedianA,Se添加的中位剂量(5-100 mg/kg);HighA,高剂量的Se添加剂(>100 mg/kg)。LowC,Cd轻度污染土壤(0.31-0.8 mg/kg);MedianC,Cd中度污染土壤(0.8-2 mg/kg);HighC,Cd高度污染的土壤(2-16 mg/kg)。

 
5、Se减轻了Cd对水稻的生理毒性:

Se的施用显著促进了水稻叶绿素含量的总体增长(18.6%,14.7%-22.6%),并导致水稻叶片中丙二醛(MDA)含量降低了28.8%,同时H2O2水平也下降了27.2%(如图7所示)。同时,Se的施用对水稻体内几种关键抗氧化酶的活性产生了积极影响:超氧化物歧化酶(SOD)活性提升了37.2%,过氧化物酶(POD)活性增加了4.70%,过氧化氢酶(CAT)和抗坏血酸过氧化物酶(APX)的活性则分别增加了29.7%和23.4%。这些酶活性的提升有助于减少氧化损伤,从而增强了水稻对Cd诱导损伤的集体抗氧化防御能力。

图7  Cd污染条件下Se供应对水稻生理活性的影响。

注:MDA,丙二醛。过氧化氢。SOD、超氧化物歧化酶。CAT,过氧化氢酶。POD、过氧化物酶。APX,抗坏血酸过氧化物酶。

 
6、Se的添加减轻了Cd污染稻米的健康风险:

Se的添加显著降低了不同污染程度土壤的HI值。高污染土壤的HI值由4.87降至3.87,中度污染土壤从2.31减少到1.46,而轻度污染土壤则从1.76下降至0.95(如图8所示)。这些变化分别代表了高、中度和轻度污染土壤中HI值下降了20.5%、36.8%和46.0%。这些结果表明,Se的添加在减少健康风险方面展现出了不同程度的效力,尤其在轻度污染土壤中的效果最为显著。值得注意的是,中国大部分Cd污染土壤处于轻度污染水平,其平均Cd含量为0.45 mg/kg。鉴于Se在轻度污染土壤中的显著效果,其施用有望成为将此类土壤的健康风险降低至安全阈值(即HI值小于1)的有效手段。这一发现为制定针对轻污染土壤的Se修复策略提供了重要依据,旨在进一步保护土壤环境质量和人类健康。

图8  在不同Cd污染水平的土壤中,Se对食用水稻的成年人的总危害指数(HI)的影响。

注:H,高度污染土壤(2-16mg/kg);M,中度污染土壤(0.8-2mg/kg);L,低污染土壤(0.31-0.8mg/kg)。

 

本文发表在Journal of Hazardous Materials,影响因子12.2。第一作者黄凤羽副教授,通讯作者方临川教授,该研究得到该研究得到国家自然科学基金项目(U21A20237)的资助。

 
 

论文链接: https://doi.org/10.1016/j.jhazmat.2024.135043

联系地址:湖北省武汉市武汉理工大学
电 话:15249204460
晋ICP备2020011185号-1