欢迎来到方临川研究员“土壤生态与环境课题组”

R

科研进展ESEARCH

最新成果

您的位置:科研进展 >科研动态>最新成果

细菌群落结构调节演替早期土壤磷周转

发布时间:2024-10-08  作者:王雨涵      编辑:江莉萍
【成果简介】

微生物是调控陆地生态系统中土壤磷循环的关键生物因素,但是富磷土壤原生演替过程中微生物介导的磷循环过程及其调控机制仍不清楚。基于青藏高原东部~130年的海螺沟冰川年代序列,探究了细菌群落结构及其功能潜力对土壤磷循环的影响。研究发现,细菌群落结构而不是磷循环功能基因决定了土壤磷的演变模式。冰川退缩后,细菌多样性的增加、种间相互作用以及与有机磷矿化相关的细菌类群的变化显著促进了无机磷的溶解和有机磷的矿化。尽管84%的磷循环基因与有机磷矿化过程相关,但是这些基因与土壤有机碳的关系更为密切,表明细菌对碳的需求驱动了土壤磷的周转,有机质矿化在富磷土壤磷循环中发挥主导作用。此外,演替后期细菌共现网络和taxa-gene-P网络的复杂性显著下降,表明细菌群落在土壤磷循环的作用逐渐减弱。本研究揭示了在富磷背景下的成土早期,复杂的细菌群落结构主导了磷的生物地球化学循环。

【关键词】

磷循环;细菌群落结构;功能基因;微生物碳需求;原生演替;冰川前缘

【概念图】

【导读】

全球变暖加速冰川消融,显著增加了高山地区的裸地面积,这些裸地上生态系统的建立和演替为陆地碳储存提供了新的路径。磷是维持有机体代谢和生态系统功能的关键养分元素,与碳和氮不同,磷主要来自基岩的缓慢风化,磷限制增加将极大削弱陆地生态系统的碳汇能力。微生物通过编码功能基因介导有机质矿化和无机磷溶解,在磷的生物地球化学循环中起着至关重要的作用。冰川退缩后冰碛物中含有丰富的矿物磷,但有机质匮乏限制了微生物的生长和代谢。为了缓解碳限制,微生物可能促进有机质矿化,进而释放生物有效磷,导致磷循环基因与不同土壤磷库解耦。同时,微生物群落组成和种间相互作用的动态变化显著影响磷酸酶和有机酸的分泌,尤其是富营养型细菌,能有效促进无机磷的利用,从而调控土壤磷的转化过程。然而,对于冰川前缘土壤细菌在原生演替进程中驱动磷周转的机制仍不明确,特别是细菌群落结构和功能潜力在土壤磷转化中的作用仍缺乏深入研究。

基于此,本研究选择青藏高原东部的海螺沟冰川~130年的土壤年代序列,揭示了细菌群落结构的动态变化而不是磷循环基因丰度预测了土壤磷库的变化。研究发现,有机磷矿化基因与土壤有机碳之间存在紧密联系,表明细菌对碳的需求驱动了土壤中磷的转化。在演替早期阶段,细菌群落对磷循环的调控作用尤为显著,但随着植物和植物-真菌共生体系的建立和发展,细菌群落的主导作用逐渐减弱。本研究为理解富磷背景下原生演替过程中微生物驱动的土壤磷周转机制提供了新的见解。

【主要结果】

1 演替过程中土壤磷及其形态的变化特征

在原生演替过程中,土壤磷浓度发生显著变化(图1)。演替早期(Stages 1-2,固氮物种)和中期(Stages 1-2,落叶树)阶段,土壤总磷(TP)和无机磷(Pi)的浓度显著高于演替后期(Stages 5-6,针叶树)。有机磷(PO)和有效磷(ASP)浓度在Stage 1后增加,之后在Stages 5-6稳定在相对较低水平。

图1 冰川年代序列土壤总磷(TP)、有机磷(PO)、无机磷(Pi)和有效磷(ASP)的浓度变化特征。每个方框代表四分位数范围(下四分位数和上四分位数),中位数和平均值分别用中心线和实心圆表示。同一列内不同的小写字母表示年代序列上根际或非根际土壤中磷浓度的显著差异(P < 0.05)。星号表示在不同阶段根际与非根际土壤磷浓度的显著差异,P < 0.05 *,P < 0.01 **,P < 0.001 ***。

 
2 演替过程中微生物群落结构的演变趋势

微生物群落结构(如多样性、组成和种间相互作用)在不同演替阶段呈现出显著差异(图2)。不论是根际还是非根际土壤,由Chao1指数和Shannon指数表征的细菌多样性从Stage 1增加至Stage 4,而在演替后期显著降低。主坐标分析(PCoA)结果显示,不同演替阶段的细菌群落组成存在显著差异。随着演替进行,变形菌门、放线菌门、拟杆菌门、绿弯菌门和芽单胞菌门的丰度降低,而酸杆菌门、疣微菌门和Omnitrophicaeota的丰度增加,浮霉菌门、帕氏菌门和硝化螺旋菌门的丰度呈现抛物线式的变化。细菌群落的优势类群由变形菌门逐渐转变为酸杆菌门。

图2 冰川年代序列土壤细菌群落结构的变化特征。(a)Chao1丰富度指数和Shannon指数;(b)基于Bray-Curtis距离的主成分分析;(c)门水平下细菌群落组成。

根据演替早期、中期和后期分别构建了根际和非根际土壤细菌群落的共现网络(图3)。细菌共现网络的节点数为123~846,连接数为66~1174,其中80%为正连接。与非根际土壤相比,根际土壤中细菌共现网络的节点和连接数更高(特别是在演替早期和中期阶段)。在门和纲的水平上,变形菌门、酸杆菌门和浮霉菌门是共现网络节点的主要类群,其比例随演替进行发生显著变化。此外,细菌共现网络的稳定性在演替早期高于中期和后期,如果随机移除网络中的节点,各个阶段的网络连通性均显著降低。

图3 演替早期、中期和后期根际与非根际土壤中细菌群落的共现网络及稳定性分析。(a)细菌群落的共现模式,每个节点代表一个门水平的细菌分类群,节点的大小与其连接数成正比。两个节点之间的连线表示细菌分类群之间存在强烈(R > 0.8)且显著(P < 0.01)的相关性,蓝色线表示正相关,棕色线表示负相关;(b)细菌共现网络中代表不同细菌门的节点比例;(c)稳定性分析(鲁棒性分析)展示了细菌共现网络的自然连通性与移除节点数的关系。

 
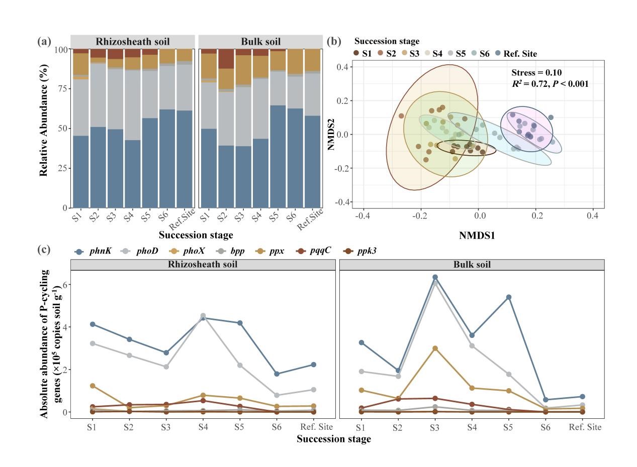
3 演替过程中细菌磷循环功能基因的变化特征

基于绝对基因丰度评估了演替过程中土壤磷循环功能基因的比例、丰度和组成的变化(图4)。在所有磷循环功能基因中,根际和非根际土壤中PO矿化基因(phnK、phoD、bpp和phoX,占比80%-91%,均值84%)在整个演替序列均占据主导地位,其次是多聚磷酸盐水解基因(ppx,7.2%-15%,均值12%)、无机磷溶解基因(pqqC,0%-8.2%,均值4.0%),以及多聚磷酸盐合成基因(ppk3,0%-0.24%,均值0.11%)。根据非度量多维尺度(NMDS)分析,磷循环基因组成在不同演替阶段存在显著差异。除Stages 3-4外,根际和非根际土壤中磷循环基因的绝对丰度的差异并不显著。在根际土壤中,PO矿化和多磷水解基因的丰度随着演替进行而降低(Stage 4除外),而非根际土壤中的丰度呈现出抛物线模式,即在Stage 4根际土壤和Stage 3非根际土壤中PO矿化基因(phnK、phoD)、无机P溶解基因和多聚磷酸盐合成基因的丰度最高。

图4 冰川年代序列土壤细菌磷循环功能基因的演变模式。(a)不同演替阶段磷循环功能基因的相对丰度;(b)不同演替阶段磷循环功能基因的非度量多维尺度(NMDS)分析;(c)不同演替阶段土壤磷循环功能基因的绝对丰度。

4 细菌群落结构和磷循环功能基因与土壤磷形态的关系

土壤细菌群落结构而不是磷循环功能基因与磷形态显著相关(图5)。在根际和非根际土壤中,细菌群落组成与土壤磷形态(ASP、PO和Pi)显著相关(P < 0.01),而磷循环功能基因丰度仅在根际土壤中与PO和Pi显著相关(P < 0.05)。此外,PO矿化基因丰度仅与根际SOC、MBC以及碳获取酶活性显著相关(P < 0.05)。taxa-gene-P网络揭示了演替过程中土壤磷形态与细菌类群的显著相关关系,而不与磷循环功能基因相关(图6)。网络中节点和连接数随着演替进行逐渐减少,且在根际土壤中,细菌分类群与土壤磷形态的相关性比在非根际土壤中更显著。此外,在演替中期和后期,细菌类群与PO的相关性最强。随机森林分析表明,PO和细菌群落组成(特别是一些丰富类群,如放线菌、疣微菌门、酸杆菌门、γ-变形菌纲、拟杆菌纲和δ-变形菌纲)是土壤有效磷(ASP)变化的预测因子。

图5 根际(a)和非根际土壤(b)中细菌群落组成、有机磷矿化基因丰度及多聚磷酸盐水解基因丰度与土壤基础理化生特性的关系。SWC:土壤含水量;SOC:土壤有机碳;TP:总磷;SoilC:P:土壤有机碳与总磷的比值;ASP:有效磷;MBC:微生物生物量碳;MBP:微生物生物量磷;MBC:P:微生物生物量碳与微生物生物量磷的比值;BG+CBH:碳获取酶活性;AP:磷酸酶活性;EEAC:P:(BG+CBH)与AP的比值,PO矿化:有机磷矿化;polyP水解:多聚磷酸盐水解;P < 0.05 *,P < 0.01 **,P < 0.001 ***。

图6 原生演替过程中taxa-gene-P网络及土壤有效磷的潜在影响因素。(a)演替早期、中期和后期根际和非根际土壤中taxa-gene-P网络。每个节点的大小与其连接数成正比。两个节点之间的连线表示细菌分类群、磷循环基因与土壤磷形态之间存在强(R > 0.8)且显著(P < 0.05)的相关性,蓝色线表示正相关,黄色线表示负相关。N:节点,L:连接。(b)随机森林(RF)分析确定土壤性质、细菌群落组成和磷循环基因在有效磷变化中的重要性(均方误差增加的百分比)。(c)随机森林分析确定细菌优势类群(占总群落的> 1%)作为土壤有效磷变化驱动因素的重要性。每个预测变量的重要性通过均方误差(MSE)的增加来评估,MSE%值越高表示变量越重要。星号和粗体表示预测变量显著(*,P < 0.05;**,P < 0.01);蓝色柱子表示显著因子,红色柱子表示不显著因子。

【结论】

研究揭示了冰川退缩后细菌群落结构在土壤磷循环的启动中发挥关键作用。在高山富磷背景下,细菌对碳的需求驱动了有机磷的矿化潜力。从功能角度,研究进一步深化了富磷背景下有机磷矿化作为生物矿化过程的认识。此外,尽管细菌群落在介导土壤磷转化的能力随着磷的消耗而降低,但丰富的细菌类群和功能基因仍然调控着土壤磷的周转。研究强调了在全球变暖背景下未来亟需关注冰川退缩后新型生态系统中微生物介导的碳磷耦合动态,这可能加速全球冰川前缘土壤有机质的降解,降低土壤的碳储存能力。此外,研究结果对于管理微生物资源以及加快退化生态系统的恢复与保护具有重要现实意义。

【致谢】

该研究以“Bacterial community structure modulates soil phosphorus turnover at early stages of primary succession”为题发表于期刊Global Biogeochemical Cycles上。武汉理工大学博士研究生王雨涵为论文第一作者,武汉理工大学方临川研究员和中国科学院、水利部成都山地灾害与环境研究所邴海健青年研究员为论文通讯作者,共同作者包括华中农业大学谭文峰教授、中国科学院、水利部成都山地灾害与环境研究所吴艳宏研究员、中国科学院华南植物园侯恩庆研究员、浙江大学戴中民研究员、武汉理工大学黄敏教授、中国科学院成都生物研究所王吉鹏副研究员、中国科学院教育部水土保持与生态环境研究中心段成娇和崔庆亮博士、中国科学院、水利部成都山地灾害与环境研究所祝贺助理研究员、西北农林科技大学张志琴博士、武汉理工大学邱天逸博士,以及美国托莱多大学Daryl L. Moorhead教授、西澳大学Hans Lambers教授、美国明尼苏达大学Peter B. Reich教授。该工作得到了国家自然科学基金(U21A20237、41977031、42271064)、中国科学院、水利部成都山地灾害与环境研究所科技攻关项目(IMHE-ZYTS-07、IMHE-ZDRW-06)等的资助。

 
 

论文链接: https://doi.org/10.1029/2024GB008174

联系地址:湖北省武汉市武汉理工大学
电 话:15249204460
晋ICP备2020011185号-1