欢迎来到方临川研究员“土壤生态与环境课题组”
您的位置:科研进展 >科研动态>最新成果
本文研究了由重金属抗性细菌Bacillus cereus,Bacillus thuringiensis和Herbaspirillum huttiense组成的合成菌群在不同土壤-小麦污染体系中促进植物生长和抑制Pb/Cd积累的作用。结果表明,微生物接种通过激活抗氧化酶和抑制脂质过氧化减轻了重金属诱导的生长抑制,在合成菌群处理中实现了植物的最佳生长。与单一菌株相比,合成菌群更有利于促进根系发育,降低土壤有效重金属含量(4.5–10.3%)及其向地上部的转移(4.3–8.4%)。此外,合成菌群显著提高了土壤酶活性和速效养分含量,对土壤质量和植物生长的影响几乎是单一菌株的两倍。相关分析和偏最小二乘路径模型分析表明,接菌通过调节土壤重金属有效性、生物化学特性和植株生长参数,显著降低了小麦地上部重金属的富集。本研究强调合成菌群促进作物小麦生长,降低重金属进入食物链的风险,进一步为污染土壤中粮食作物的安全生产提供有效策略。
大量的工业活动和农业废弃物处理导致全球农业用地重金属超标,其中包括2000多万公顷土地,占污染土壤的50%以上(Chen et al., 2022; Khalid et al., 2017; Liu et al., 2018)。小麦作为全世界的主要粮食作物之一,在受污染的土壤中,小麦比其他作物具有更显著的积累重金属的趋势(Huang et al., 2008; Wang et al., 2017; Yang et al., 2018)。鉴于镉(Cd)和铅(Pb)是小麦中积累的主要有毒金属(Han et al., 2021),最大限度地减少其在土壤和食物链的转移是人类健康的主要补救措施。因此,寻找降低小麦中以Cd和Pb含量的有效方法是当前面临的重大挑战。
重金属污染土壤的修复方法已被相继提出,其中微生物修复因其成本低、效率高、无二次污染而受到广泛重视(Halim et al., 2020;Wan et al., 2020)。微生物修复可以通过吸附或转化重金属为毒性较低的产物来减少污染(Halim et al., 2020)。此外,由于非本地和本地微生物组之间潜在的相互作用,微生物修复也被视为调整“同一个健康”的举措之一(Banerjee and van der Heijden, 2022)。研究表明,从污染土壤中提取的抗性微生物可以固定土壤中重金属,降低可食组织中重金属的含量(Wang et al., 2018; Su et al., 2021; Zhang et al., 2022a)。有益微生物可以分泌物质刺激相关微生物的代谢活性,从而提高与养分循环相关的酶活性,重塑环境微生态特性(Fang et al., 2020; Liu et al., 2022)。改变的土壤微生境将进一步调节植物养分吸收、植物生长和重金属转运(Liu et al., 2022)。在以往的研究和应用中,促进植物生长和重金属修复在农业中主要使用单一菌株,其易于控制和操作(Fedorec et al., 2021; French et al., 2021; Ray et al., 2020)。然而,由于土壤微生物群落具备鲁棒性,单一菌株的生存能力/效率较低,极大地限制了其广泛应用。
为了追求更高的修复效率,人们越来越关注多种微生物接种剂的重要性,即从单一特定微生物转向多种微生物组合(Ray et al., 2020)。高效的合成菌群可以提高作物生产力,恢复土壤健康(Kaur et al., 2022; Ray et al., 2020; Vishwakarma et al., 2020)。合成菌群提供了潜在的更大的定殖能力和与本地微生物群落的积极相互作用,比单一微生物或商业接种剂更持久(Gralka et al., 2020; Jiang et al., 2023; Trivedi et al., 2020)。即使合成菌群未能在自然土壤中定殖,它们也会增加生态位重叠,加剧竞争,从而共同促进植物生长(Jiang et al., 2023; Ray et al., 2020)。合成菌群内微生物之间的相互作用可以促进三羧酸循环,提高植物免疫力(Wang et al., 2020; Santos-Medellin et al., 2022)。此外,多种菌株共存可以产生额外的生物膜来固定更多的重金属,使植物可食用组织含量低于安全阈值(Wang et al., 2020)。因此,合成菌群可以作为修复土壤污染、实现农业可持续发展的有效途径,但如何将其功能潜力更好地应用到实际生产中,还需要更多的研究。
目前的研究缺乏证据表明合成菌群在修复不同重金属污染系统方面比单一菌株更有效,也缺乏合成菌群促进作物生长和降低重金属进入食物链潜在风险的机制。本文在三种污染土壤(铅、镉污染或铅镉复合污染土壤)中,研究了合成菌群对小麦生长的促进作用和对重金属的抑制作用。具体而言,目标是;(1)探索合成菌群如何通过调节植物-土壤生化特性影响小麦生长;(2)阐明合成菌群减少小麦在植物-土壤系统中Cd/Pb吸收的调控机制;(3)评价合成菌群是否比单一菌株更好地修复不同重金属污染系统。本研究结果将有助于加深对合成菌群修复土壤重金属的认识,并为作物安全生产提供有效的策略。
接种显著提高了小麦的株度、根生物量和SPAD(P < 0.05)(图 1)。这些指标的最高值大多出现在合成菌群处理(BBH)中。单一菌株处理(Bc、Bt、Hh)比对照的株高增加了6.1%,合成菌群处理增加了8.2%。同样,合成菌群处理增加了根生物量(20.0%),高于单一菌株(5.8%)。与对照相比,单一菌株处理和合成菌群处理的SPAD分别提高了3.2%和5.0%。地上部生物量在各个处理间差异不显著,但接种处理略高于对照处理。此外,Bt的株高和生物量均高于Bc和Hh。接种显著改善了根的形态参数(根长、根表面积、根体积和根平均直径)和根耐受性指数(P < 0.001)(图 S2)。与对照相比,单一菌株处理的根系形态参数提高了6.9–47.8%;合成菌群使其增加12.5–75.2%。单一菌株根耐性指数提高11.7%,合成菌群使其增加21.0%。
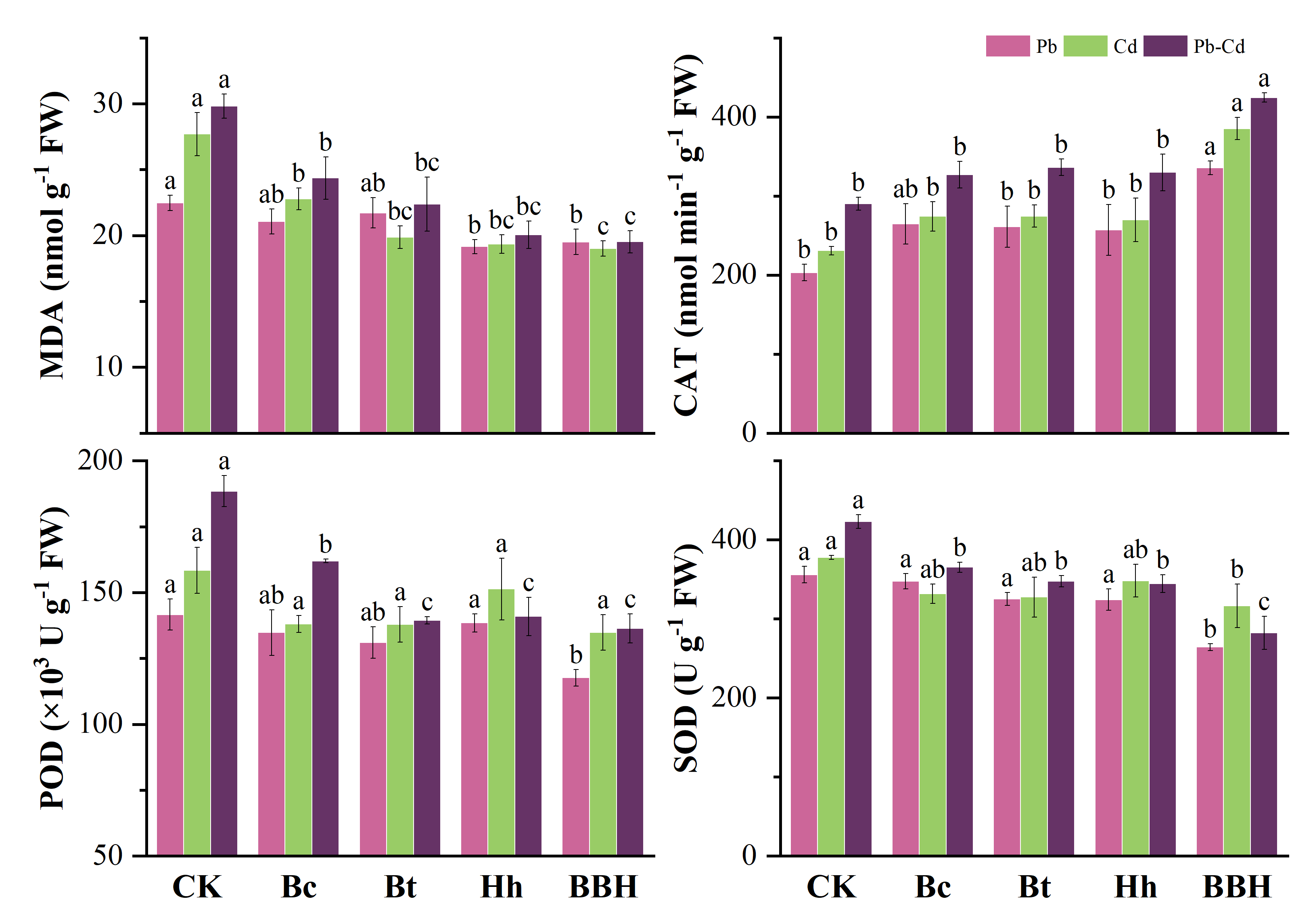
不同接种方式对不同抗氧化酶(POD、SOD和CAT)活性和氧化损伤(MDA)有显著影响(图 2)。接种能提高CAT活性,其中以合成菌群处理增加最多(63.8%)。此外,接种对POD和SOD活性的影响相反,合成菌群的下降幅度最大,分别为31.0%和35.7%。与对照相比,MDA含量在单接菌和合成菌群中分别降低了24.6%和28.3%,特别是在铅镉污染的土壤中。接种对根系氧化损伤和抗氧化酶的影响与对地上部的影响相似(图 S3)。
接种显著降低了重金属的生物有效性(图 3)。合成菌群处理中DTPA提取态铅(10.3%)和DTPA提取态镉(7.2%)的含量较单一菌株下降较多。重金属有效性的降低导致进入根的潜力的降低(图 S4)。合成菌群使根中铅镉含量降低11.5–14.9%,显著低于单一菌株(8.8–9.8%)(图 S4)。同样,合成菌群处理使地上部铅镉含量降低17.5–18.5%,而单一菌株处理降低了(11.2–11.7%)。此外,图 4显示了接种对铅镉转运因子和富集系数的影响。与对照相比,单一菌株处理和合成菌群处理分别降低了9.7–10.2%和10.2–14.1%的根富集系数,降低了2.5–3.4%和4.6–7.1%的转运因子。重金属在根富集和转移运输减少导致地上部富集减少,单一菌株和合成菌群中地上部富集系数分别减少12.1–12.3%和16.6–17.7%。
表S4 不同接种方式对土壤化学性质的影响。

注:SOM,土壤有机质;NO3--N,硝态氮;NH4+-N,铵态氮;AP,有效磷。不同字母表示Pb、Cd和Pb-Cd污染土壤处理间差异显著(P < 0.05)。***,P < 0.001;**,P < 0.01;*,P < 0.05;ns,不显著。
接种显著增加了土壤速效养分(NO3--N、NH4+-N和AP)(P < 0.01)(表 S4)。与单一菌株相比,合成菌群的促进效果是单一菌株的两倍以上。但不同处理间的pH值差异不显著,这可能是由于根系活动产生的根系分泌物的负作用抵消了接种的积极作用。接种显著提高了土壤酶活性,不同接种方式对土壤酶活性的影响顺序为:合成菌群> 单一菌株>对照(图 5)。合成菌群和单一菌株接种时,土壤过氧化氢酶活性分别提高了10.0%和6.8%。其中,脲酶、转化酶和碱性磷酸酶活性在合成菌群处理中分别提高了86.1%、25.2%和9.6%。不同单一菌株中脲酶、转化酶和碱性磷酸酶活性值均以Bt处理最高。
接种通过影响土壤健康、植株生长参数、金属转运/富集等因素降低地上部重金属含量。土壤性质(土壤化学性质、土壤酶)与植物生长指数呈正相关,有效重金属与植物生长参数呈负相关(图 S5)。在所有影响因子中,接种是最重要的负影响因子,其次是土壤酶和植物生长(图 6)。接种显著地影响土壤化学性质和土壤酶活性,接种和金属富集/运输显著地影响地上部重金属的含量。综上所述,接种、土壤性质、重金属有效性、植物生长和重金属运输/富集是影响地上部重金属含量和降低重金属进入食物链风险的关键因素。
在所有接种处理中,合成菌群处理的优势是很明显的。研究表明,合成菌群通过增强土壤健康和减少重金属胁迫引起的氧化损伤,有效减轻重金属的植物毒性作用,这一点可以从植物高度、生物量和叶绿素含量的增加中得到证明(图 1)。这些积极结果可归因于每个菌株的植物生长促进能力,如吲哚乙酸、铁载体的产生以及磷的增溶(Han et al., 2018; Teheran-Sierra et al., 2021; Zhang et al., 2023; Zhu et al., 2024)。总体而言,合成菌群由于能够利用不同微生物的促生长作用而显著促进植物生长(Mee et al., 2014; Ray et al., 2020; Wang et al., 2022)。
此外,高度多样化的合成菌群具有稳定有效的促进植物生长的能力,这可以增加微生物菌株之间拮抗负面效应的敏感性(Wang et al., 2022)。菌群中微生物之间的代谢互补和交叉取食机制可以增加能量供应和物质周转,从而促进植物生长,并可能将接种效应放大到倍增规模(Wang et al., 2020)。
合成菌群提高了土壤速效磷和速效氮含量(表 S4),提高了土壤肥力和土壤养分对植物的有效性,从而提高了小麦对重金属胁迫的抗性。此外,合成菌群接种处理中土壤的酶活性升高表明土壤健康状况得到改善。简而言之,过氧化氢酶活性的增加表明土壤毒性降低,而碳/氮/磷获取酶活性的增加表明土壤养分循环功能的增强(Ju et al., 2023)。合成菌群由于酶的分泌多样化,更能释放可利用的营养物质,促进营养循环。此外,植物根系形态发育的增强可以提高植物对养分和水资源的可利用性,从而进一步提高作物生产力(Grover et al., 2021)。
就解毒功能而言,合成菌群的处理中,氧化损伤处于最低水平,抗氧化酶得到最有效的激活。氧化损伤的减少和抗氧化酶的激活表明植物的抗性增强。例如,在合成菌群处理中过氧化氢酶活性显著升高(图 2)。这可能归因于合成菌群中微生物定植的可能性更高,反过来这可能显著影响植物免疫基因的表达,从而增强植物抗性(Jiang et al., 2023; Norman et al., 2021)。前人的研究还表明接种可以影响植物微生物群落的重建,改变根和叶中转录基因的表达,从而刺激植物免疫系统的反应和活性氧的消除(Ju et al., 2019; Santos-Medellin et al., 2022)。
此外,值得注意的是,合成菌群对Pb、Cd和Pb-Cd污染土壤中植物生长的促进作用相似。以往的研究证实了合成菌群在其他胁迫环境土壤中对植物生长的促进作用(Jiang et al., 2023; Schmitz et al., 2022)。合成菌群与作物所需的氮、磷、硫等营养物质共同施用可以增强有益的本地或外来功能微生物的代谢活性,减轻重金属毒性,从而促进植物生长(Cui et al., 2023)。然而,应该注意的是,与盆栽试验结果相比,在田间条件下应用合成菌群的功效可能会降低(Liu et al., 2023)。因此,在评估接种方案的有效性时,必须考虑环境条件的重要性。寻找一个互惠互利、广泛应用的合成菌群是一个挑战。选择能够共存和合作的菌株可能是未来实际应用的重要研究方向。综上所述,与单一菌株相比,合成菌群在重金属胁迫下对小麦的抗性和生长具有更有效的改善作用,为提高作物产量提供了有效措施。
对比单一菌株,合成菌群在抑制重金属的迁移方面是一个更有效的选择。与对照和单一菌株相比,合成菌群显著降低了土壤中有效重金属的含量(图 3),反映了微生物接种降低了土壤中有效重金属的生物利用度(Akinsemolu et al., 2018; Han et al., 2018)。一方面,本研究中使用的菌株具有一定的抗性和固定重金属的能力。另外一方面,在细胞表面具有更多样化化学官能团的合成菌群可以通过钝化或沉淀固定重金属,抑制重金属在土壤-根过程中的迁移(Guo et al., 2021; Mejias Carpio et al., 2018; Torres,2020)。
土壤生化特性、有效重金属和重金属转运/富集是土壤-根-地上部过程中减少小麦地上部中重金属积累的关键因素(图 6)。合成菌群在增加有机质含量方面表现优异(表 S4),这意味着它可能可以促进高分子量腐植酸与有机质的稳定结合,从而降低重金属的有效性(Min et al., 2021)。此外,与单一菌株相比,菌群显著提高了土壤酶活性,且与有效重金属含量呈负相关。这意味着酶活性的增强将导致重金属可用性的降低。因此,菌群中菌株之间的协同代谢活性可能是降低重金属可用性的另一个决定因素(Xu et al., 2020)。酶活性的增加通常表明微生物生物量和代谢活性的增加(Ju et al., 2023)。Wang(2020)的研究表明,菌株间的代谢代偿使土壤重金属的固定化效应加倍,降低了植物对土壤重金属的利用。
土壤重金属从根向地上部的转运是决定地上部中土壤重金属积累的重要过程(Uraguchi et al., 2009)。与单一菌株相比,合成菌群在降低重金属的毒性和影响重金属在植物体内的富集和转运方面发挥更大的作用。微生物菌群可以在根中占据更多的生态位,使自己在宿主中具有更强的适应性(Benito et al., 2017),从而在根冠第二阶段抑制微生物的迁移方面产生更大的影响。这可能是菌株在植物组织中定殖后对根细胞壁的生物合成途径以及跨膜转运蛋白表达的调节影响的结果(Wei et al., 2023)。总的来说,合成菌群可以有效地影响重金属在土壤-根-地上部的迁移,并最大限度地减少其转移到地上部的风险。
对于生长期较长的大田作物,外源接种微生物的成活率可能是效率稳定的关键,由于合成菌群的成活率高于单一菌株,合成群落显然是更好的选择(Gralka et al., 2020; Jiang et al., 2023; Trivedi et al., 2020)。同时,开发能够成功定殖各种生态位(包括非根际土壤、根际甚至植物内部)的微生物群落,可以拓宽其在田间的应用范围,提高接种效果。合成菌群的开发与利用,为保证土壤中作物的安全生产提供了有效的技术策略。
本研究提供了经验证据,表明合成菌群可以促进不同污染体系中小麦的生长,降低小麦重金属进入食物链的风险。总体而言,合成菌群在提高小麦生物量和降低土壤重金属有效性方面优于单一菌株,这有利于通过运输抑制和生长稀释效应降低小麦地上部中的重金属含量。合成菌群能更有效地激活小麦体内抗氧化酶,增强根系抗性,提高土壤酶活性,从而降低重金属的毒性,促进小麦生长。这些发现有助于弥补土壤污染修复机制的空白,促进合成菌群在粮食安全中的应用。今后,应深入研究接种合成菌群后土壤/植物微生境的变化和持续性,充分掌握其作用,选择适宜的功能组合,有利于农业可持续生产。
本文发表在国际期刊Journal of Environmental Management,影响因子8.7。第一作者祝小珍博士,通讯作者方临川教授,该研究得到国家自然科学基金项目(U21A20237)的资助。
 
 
联系地址:湖北省武汉市武汉理工大学
电 话:15249204460
晋ICP备2020011185号-1