欢迎来到方临川研究员“土壤生态与环境课题组”

R

科研进展ESEARCH

最新成果

您的位置:科研进展 >科研动态>最新成果

合成菌群通过时空协同作用促进人工蓝藻结皮形成

发布时间:2026-1-24  第一作者:李琪   通讯作者:方临川   编辑:罗铭萍
 
文章介绍

土地荒漠化是全球生态系统稳定与可持续发展的重大威胁。生物土壤结皮(BSCs)因其独特的生态屏障功能被做为最有效的荒漠化生物防治策略之一。然而,自然BSCs形成缓慢(≥5 y),且在气候变化与人为扰动下,BSCs覆盖面积正持续退化,严重制约了荒漠生态系统的自我修复能力。人工蓝藻结皮(ACCs)作为一种快速构建BSCs的技术应运而生。已有的促进ACCs形成的研究多集中于物理或化学手段的调控,尚未充分挖掘土壤微生物间的协同互作潜力。因此,亟需从功能微生物角度探寻一种效果更佳且可持续的荒漠土壤修复技术。

为探究功能微生物对人工蓝藻结皮形成的促进作用及其机制,研究团队设计了一套系统性实验方案。首先,从宁夏沙坡头天然蓝藻结皮中分离出具备三类关键功能的菌株:产胞外多糖(EPS)细菌、产铁载体细菌和固氮细菌。通过生理活性测定和平板对峙实验,筛选出高活性且互不拮抗的菌株,构建了四种功能型合成菌群(SynComs):EPS菌群、铁载体菌群、固氮菌群以及三者复合菌群。将这些SynComs分别与蓝藻菌种Microcoleus vaginatus混合后接种于室内装有沙土的培养盆中,在可控光照条件下进行为期24天的培养。分别在培养第0、5、10、17和24 d进行取样,系统监测了结皮的理化性质(叶绿素a、EPS、有机质、铵态氮、脲酶活性)和微生物生物量(16S rRNA基因拷贝数)的动态变化,并通过相关性分析,揭示了不同功能合成菌群在结皮形成过程中的时空协同机制。

 

图1 实验设计流程图

 
研究结果

(1)功能菌株筛选与互作:成功筛选出多株高活性功能菌株,其中EPS菌株产量最高达769 mg/L,铁载体活性达55.4%~73.4%,固氮菌株固氮酶含量达334~391 pg/mL。平板对峙实验表明,不同功能菌株间存在显著的促进或弱抑制关系,适合共接种。

(2)理化性质响应:EPS菌群和固氮菌群显著提升了叶绿素a含量(增加16.0–16.3%)。除固氮菌外,其余SynComs均显著提升土壤有机质含量(9.1%–27.3%)。所有SynComs均显著提升EPS含量(14.1%~19.2%)。铵态氮积累呈现时空差异:固氮菌群在早期(≤10天)显著提升,而EPS和铁载体菌群则在后期(17–24天)作用更强。

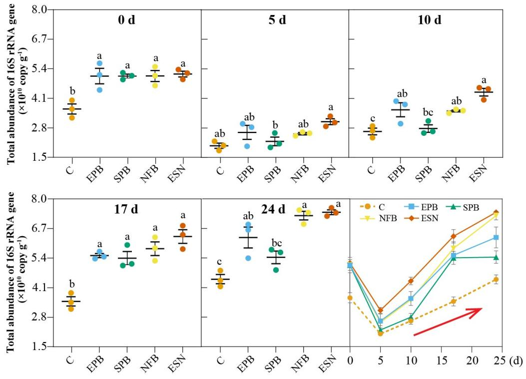
(3)微生物生物量增长:在第24 d,相比于各自第0 d的16S rRNA基因拷贝数,EPS、固氮菌群和复合菌群处理的数值分别增加24.1%、43.0%和43.5%,表明SynComs显著促进了微生物定植与生长。

(4)微生物量与理化指标相关性:SynComs加入改变了土壤理化指标与生物量之间的相关性模式,将对照组中较弱的关联转变为NH₄⁺-N与叶绿素a及微生物生物量之间的强正相关。

 

图2 功能菌株多糖产生能力(a)、铁载体产生能力(b)、固氮酶含量(c)

 

图3 不同功能菌株间平板对峙实验中的菌落直径(mm)

 
 

图4 添加不同功能合成菌群的人工蓝藻结皮理化指标变化

 
 

图5 添加不同功能合成菌群的人工蓝藻结皮16S rRNA基因拷贝数

 
 

图6 不同人工蓝藻结皮理化指标与生物量之间的Spearman相关性分析

 

综上,本研究系统阐明了功能合成菌群通过时空协同显著促进人工蓝藻结皮形成的机制。产多糖菌群在早期通过分泌多糖稳定土壤颗粒、改善微生境,为蓝藻定植奠定基础;固氮菌群在中后期通过提供氮源与蓝藻建立互惠关系,显著提升微生物生物量;铁载体菌群则通过提高微量元素生物可利用性,间接增强微生物群落功能。由此,复合菌群表现出最强的协同促进效果。研究证实,通过理性设计与组合功能微生物,可显著提升人工蓝藻结皮的形成效率,为基于微生物协同的荒漠生态修复提供了可控、高效的技术范式与理论支撑。

 

本文第一作者为武汉理工大学博后李琪,通讯作者为方临川教授。

 
 

论文题目:Synthetic microbial communities enhance artificial cyanobacterial crusts formation via spatiotemporal synergy

期刊:Microorganisms

 

论文下载: DOI:https://doi.org/10.3390/microorganisms14010243

联系地址:湖北省武汉市武汉理工大学
电 话:15249204460
晋ICP备2020011185号-1